Dek-D.com ใช้คุกกี้เพื่อพัฒนาประสบการณ์ของ
ผู้ใช้ให้ดียิ่งขึ้น เรียนรู้เพิ่มเติมที่นี่
ยอมรับ

ทดสอบความรู้ด้าน biochemistry ของคุณ!!!

ไม่มีอะไรมาก ลองทำดู เดี๋ยวรู้เลย ถถถถ ปล.อย่าเปิดหนังสือไปทำไปนะ ได้กับตัวเองล้วนๆ

คุณมีเวลาในการตอบคำถาม
ชั่วโมง นาที วินาที
00 10 00

ควิซทดสอบนี้มีการจำกัดเวลา
เมื่อเริ่มทดสอบแล้วจะไม่สามารถหยุดเวลาได้

กด "Like" เพื่อติดตามควิซเด็ดน่าเล่น
Dek-D's Quiz
กำลังคำนวณผลลัพธ์
เหลือเวลา
ชั่วโมง นาที วินาที
00 00 00
1 ข้อใดคือสาเหตุของภาวะด่างเกิน หรือ alkalosis
2 ข้อใดกล่าวถูกต้อง
3 กรดอะมิโนในข้อใดสามารถดูดกลืนแสงได้ในช่วง 280 nm
4 ข้อใดกล่าวผิด
5 ข้อใดกล่าวถูกต้อง
6 ข้อใดถูกต้อง
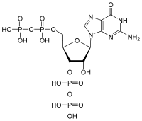
7 จากภาพ คือสารในข้อใดต่อไปนี้
8 สาร NAD+ มีโครงสร้างตามข้อใดต่อไปนี้
9 ปฏิกิริยาในข้อใดคือ rate limiting step ของกระบวนการ glycolysis
10 ปฏิกิริยาในข้อใดในกระบวนการ glycolysis ที่อยู่ใน Payoff phase
11 มีกี่ปฏิกิริยาของ Krebs Cycle ที่ได้ผลิตภัณฑ์เป็นสาร NADH
12 ปฏิกิริยาในข้อใดเป็นแบบ Substrate level phosphorylation
13 ตำแหน่งใดที่เกิดกระบวนการ Kreb cycle
14 ตำแหน่งใดที่เกิดกระบวนการ glycolysis
15 กระบวนการ Krebs cycle ได้ ATP NADH FADH2 CO2 สุทธิ ตรงกับข้อใดต่อไปนี้
จบควิซ หมดเวลาตอบคำถาม
ชั่วโมง นาที วินาที
00 00 00

คุณไม่สามารถตอบคำถาม
หรือแก้ไขคำตอบได้หลังจากหมดเวลา

คุณตอบไม่ทัน!
กดปุ่มด้านล่างเพื่อเล่นข้อถัดไป