Dek-D.com ใช้คุกกี้เพื่อพัฒนาประสบการณ์ของ
ผู้ใช้ให้ดียิ่งขึ้น เรียนรู้เพิ่มเติมที่นี่
ยอมรับ

PRE-TEST O-NET ม.6 วิชาคณิตศาสตร์ - ชุดที่ 1

โดย: MATHTiME

แนวข้อสอบ O-NET ม.6 วิชาคณิตศาสตร์ ลองฝึกทำก่อนสอบจริงนะครับ ศึกษาวิธีการตอบที่ Facebook Fanpage: MATHTiME นะครับ (facebook.com/MATHTiME99) อย่าลืมเตรียมกระดาษทดไว้ด้วยล่ะ ^^

ในแต่ละข้อ คุณมีเวลาในการตอบคำถาม
ชั่วโมง นาที วินาที
00 03 00

ควิซทดสอบนี้มีการจำกัดเวลา
เมื่อเริ่มทดสอบแล้วจะไม่สามารถหยุดเวลาได้

กด "Like" เพื่อติดตามควิซเด็ดน่าเล่น
Dek-D's Quiz
กำลังคำนวณผลลัพธ์
0/10
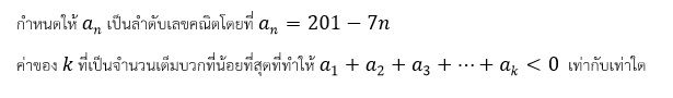
1 ข้อที่ 1
2 ข้อที่ 2
3 ข้อที่ 3
4 ข้อที่ 4
5 ข้อที่ 5
6 ข้อที่ 6
7 ข้อที่ 7
8 ข้อที่ 8
โอ้โห เก่งมากๆ ห้ะ! แค่นี้ก็ไม่รู้หรอ
คะแนน

0
จบควิซ หมดเวลาตอบคำถาม
ชั่วโมง นาที วินาที
00 00 00

คุณไม่สามารถตอบคำถาม
หรือแก้ไขคำตอบได้หลังจากหมดเวลา

คุณตอบไม่ทัน!
กดปุ่มด้านล่างเพื่อเล่นข้อถัดไป