Dek-D.com ใช้คุกกี้เพื่อพัฒนาประสบการณ์ของ
ผู้ใช้ให้ดียิ่งขึ้น เรียนรู้เพิ่มเติมที่นี่
ยอมรับ

'คณะ วิทยาฯ' คุณจะสอบติดไหม?

โดย: jasmine oui

มาทดสอบ ศักยภาพทางวิทยาศาสตร์ (PAT2) กัน ว่าคุณมีโอกาสที่จะสอบติด คณะวิทยาศาสตร์ไหม? เตรียมตัวให้พร้อมก่อนลงสอบจริง รู้ก่อนเตรียมตัวก่อน โอกาสเห็นๆ

คุณมีเวลาในการตอบคำถาม
ชั่วโมง นาที วินาที
00 36 00

ควิซทดสอบนี้มีการจำกัดเวลา
เมื่อเริ่มทดสอบแล้วจะไม่สามารถหยุดเวลาได้

กด "Like" เพื่อติดตามควิซเด็ดน่าเล่น
Dek-D's Quiz
กำลังคำนวณผลลัพธ์
เหลือเวลา
ชั่วโมง นาที วินาที
00 00 00
1 จงบอกชื่อฮอร์โมนที่สร้างจากโครงสร้าง ข. 
2 จงบอกชื่อออร์แกเนลล์ที่ทําหน้าที่ต่อไปนี้
3 นายเจนนี่ตัดลูกอัณฑะทิ้งเพื่อที่จะได้ใส่กางเกงดูงามและไม่ เกะกะจะได้เหมือนสาวสมัย อยากทราบว่าฮอร์โมนของ นายเจนนี่จะถูกสร้างได้อีกจากอวัยวะใด 
4 พืชใดต่อไปนี้จัดเป็นพืชประเภทเฟินน้ำ
5 ของเสียหรือสารที่เป็นอันตรายต่อเซลล์ของพืช จะถูกเก็บเอา ไว้ที่ใดและจะถูกขจัดออกไปทางใดตามลำดับ 
6 นักท่องเที่ยวมาเที่ยวประเทศไทยจะระวังการกินอาหารที่ "ไม่สุก" ทั้งนี้เขากลัวจะติดเชื้อไวรัสตับอักเสบ ชนิด ใด
7 ข้อใดเป็นธาตุ d-block ทั้งหมด
8 ข้อใดที่อะตอมของไนโตรเจนมีเลขออกซิเดชันเท่ากัน 
9 ความแรงของเบสข้อใดถูกต้อง
10 กําหนดข้อมูลเกี่ยวกับธาตุ A   ธาตุ A ควรเป็นธาตุใด 
11 ไอออนหรือสารในข้อใดที่ถูกตรวจสอบโดยฟีนอล์ฟทาลีน และสารละลายโพแทสเซียมเฮกซะไซยาโนเฟอเรต (III)
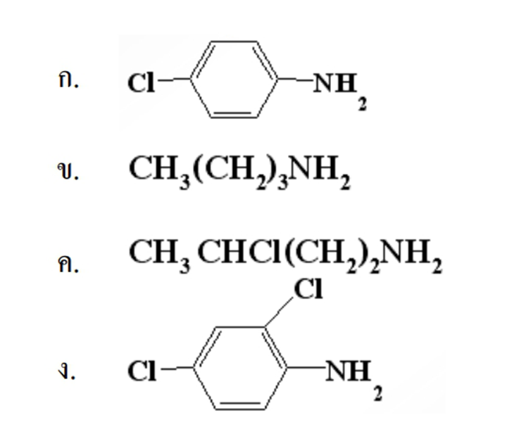
12 โครงสร้างข้อใดถูกต้อง
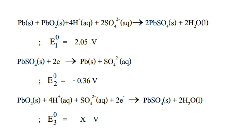
13 กําหนดปฏิกิริยาให้ดังนี้  จงคํานวณหาค่า X
14 การจัดเรียงอิเล็กตรอนในออร์บิทัลเป็นดังนี้ ควรเป็นธาตุใด
15 ธาตุ A เกิดซัลเฟต มีสูตร (จากรูป)ถ้า A หนัก 9 กรัม รวมพอดี กับออกซิเจนหนัก 32 กรัม มวลอะตอมของA มีค่าเทาใด (มวลอะตอมของ O = 16, S = 32) 
16 ในการทดลองศึกษาสมบัติของสารกัมมันตรังสีโดยตรวจนับ กัมมันตภาพ ได้ผลการทดลองดังข้อมูลในตารางจงประมาณ หากัมมันตภาพที่นับได้ต่อนาทีเมื่อทําการนับที่เวลาหลังจาก เริ่มต้น 45 ชั่วโมง 
17 โจทย์จากรูปภาพ
18 โจทย์จากรูปภาพ
19 โจทย์จากรูปภาพ
20 โจทย์จากรูปภาพ
จบควิซ หมดเวลาตอบคำถาม
ชั่วโมง นาที วินาที
00 00 00

คุณไม่สามารถตอบคำถาม
หรือแก้ไขคำตอบได้หลังจากหมดเวลา

คุณตอบไม่ทัน!
กดปุ่มด้านล่างเพื่อเล่นข้อถัดไป