Dek-D.com ใช้คุกกี้เพื่อพัฒนาประสบการณ์ของ
ผู้ใช้ให้ดียิ่งขึ้น เรียนรู้เพิ่มเติมที่นี่
ยอมรับ

Mathematics for physics

โดย: Nonted

^ แทนการยกกำลัง
ในการเขียนเลขยกกำลังห้ามเว้นวรรค ตย. a^bcd
ในการเขียนคำตอบที่มี ln ให้เขียนตัว ln เว้นวรรค และตัวแปร ตย.ln x
หรือฟังก์ชั่นที่มีตัวแปรทั้งหลาย ให้เว้นวรรค
ค่าคงตัวจากการอินทิเกรตมีค่าเท่ากับ 0 ทุกข้อ
ถ้าข้อไหนตอบ 0 ให้พิมพ์ว่า = 0(อย่าลืมเว้นวรรค)

^ แทนการยกกำลัง
ในการเขียนเลขยกกำลังห้ามเว้นวรรค ตย. a^bcd
ในการเขียนคำตอบที่มี ln ให้เขียนตัว ln เว้นวรรค และตัวแปร ตย.ln x
หรือฟังก์ชั่นที่มีตัวแปรทั้งหลาย ให้เว้นวรรค
ค่าคงตัวจากการอินทิเกรตมีค่าเท่ากับ 0 ทุกข้อ
ถ้าข้อไหนตอบ 0 ให้พิมพ์ว่า = 0(อย่าลืมเว้นวรรค)
...อ่านเพิ่ม
กด "Like" เพื่อติดตามควิซเด็ดน่าเล่น
Dek-D's Quiz
กำลังคำนวณผลลัพธ์
1 กำหนดให้ a(5) จงหาคำตอบ
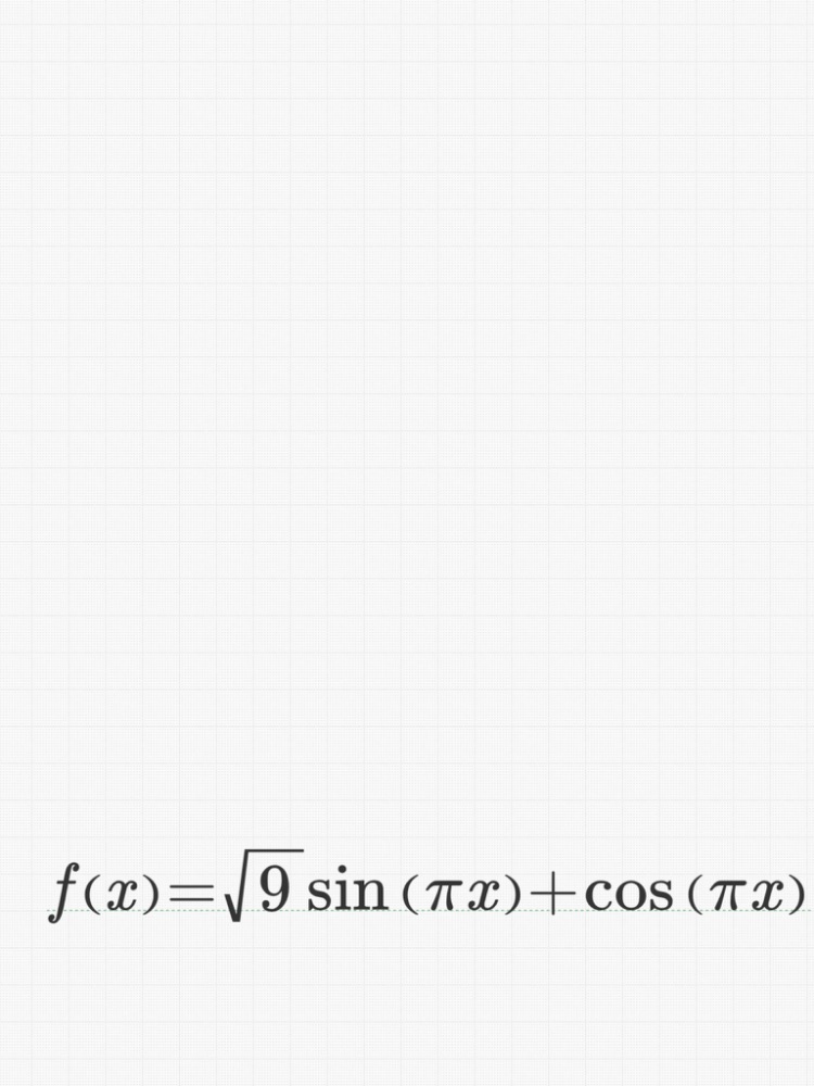
2 กำหนดให้ f(1/π) จงหาคำตอบ (ตอบเป็นทศนิยม 2 ตำแหน่ง)
3 จงหาคำตอบของ
4 จงหาคำตอบ (ตอบเป็นจำนวนเต็ม)
5 จงหาคำตอบ (หาค่าของ sin^-1 0.5 ก่อน พอได้คำตอบแล้วค่อยเอาเศษไปหารโดยตอบเป็นเศษส่วนอย่างต่ำ)
6 จงหาคำตอบของ
7 ถ้าเมทริกซ์ A=เมทริกซ์ในรูปภาพข้างล่าง จง det A
8 จงหาคำตอบของ (คำใบ้:ในคำตอบมีค่า ln และ hyperbolic function)
9 จงจัดให้อยู่ในรูปเลขยกกำลังเอกซ์โพเนนเชียล (ถ้าในเครื่องไม่มีตัวβให้ใช้ตัวBแทนได้) i คือจำนวนจินตภาพ
10 จงหาคำตอบของ
คุณตอบไม่ทัน!
กดปุ่มด้านล่างเพื่อเล่นข้อถัดไป