Dek-D.com ใช้คุกกี้เพื่อพัฒนาประสบการณ์ของ
ผู้ใช้ให้ดียิ่งขึ้น เรียนรู้เพิ่มเติมที่นี่
ยอมรับ

ความไวของความรู้เลข (ม.ปลาย)

โดย: Yellow Car

ควิซที่จะได้ทำต่อไปนี้เป็นวิชาคณิตศาสตร์ที่วัดความรู้เบื้องต้น อาจจะไม่ยากสำหรับใครหลายคนแต่ก็พอวัดความรู้ในเบื้องต้นได้ ขอให้ทุกท่านโชคดี

ในแต่ละข้อ คุณมีเวลาในการตอบคำถาม
ชั่วโมง นาที วินาที
00 03 30

ควิซทดสอบนี้มีการจำกัดเวลา
เมื่อเริ่มทดสอบแล้วจะไม่สามารถหยุดเวลาได้

กด "Like" เพื่อติดตามควิซเด็ดน่าเล่น
Dek-D's Quiz
กำลังคำนวณผลลัพธ์
0/10
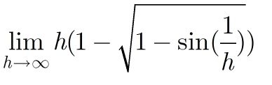
1 จงหาค่าของ
2 จากโจทย์
3 จงหาค่าของ 
4 จงหาข่วงของจำนวนจริง x ที่ทำให้สมการที่เกิดขึ้นมีค่าต่ำสุด โดยเลือกข้อที่เหมาะสมที่สุด
โอ้โห เก่งมากๆ ห้ะ! แค่นี้ก็ไม่รู้หรอ
คะแนน

0
จบควิซ หมดเวลาตอบคำถาม
ชั่วโมง นาที วินาที
00 00 00

คุณไม่สามารถตอบคำถาม
หรือแก้ไขคำตอบได้หลังจากหมดเวลา

คุณตอบไม่ทัน!
กดปุ่มด้านล่างเพื่อเล่นข้อถัดไป