Dek-D.com ใช้คุกกี้เพื่อพัฒนาประสบการณ์ของ
ผู้ใช้ให้ดียิ่งขึ้น เรียนรู้เพิ่มเติมที่นี่
ยอมรับ

แบบทดสอบวัดกึ๋นทางการคำนวณระดับง่าย (16 ปีขึ้นไป)

โดย: Georjoditore

แบบทดสอบนี้มีเนื้อหาเกี่ยวกับพื้นฐานการคำนวณทางคณิตศาสตร์
เหมาะสำหรับผู้ที่มีอายุ 16 ปีขึ้นไป
ถ้าต่ำกว่านั้น ก็คิดให้ดีก่อนทำนะ อย่าหาว่าไม่เตือน
แต่ถ้าคิดว่าแน่ ก็ลองทำดูได้เลย

ในแต่ละข้อ คุณมีเวลาในการตอบคำถาม
ชั่วโมง นาที วินาที
00 01 05

ควิซทดสอบนี้มีการจำกัดเวลา
เมื่อเริ่มทดสอบแล้วจะไม่สามารถหยุดเวลาได้

กด "Like" เพื่อติดตามควิซเด็ดน่าเล่น
Dek-D's Quiz
กำลังคำนวณผลลัพธ์
0/10
1 "48 x 5" สอดคล้องกับตัวเลือกใด
2 "20% ของ 36" สอดคล้องกับตัวเลือกใด
3 "3,4,6,9" ถ้าจัดตัวเลข 4 ตัวนี้ให้เป็นผลบวก 2 กลุ่ม ที่มีผลบวกต่างกัน 2 
เลข 4 จะเข้าพวกกับเลขอะไร
4 "3,7,10,17,19,21,24" ถ้าจัดตัวเลข 7 ตัวนี้ให้เป็นผลบวก 2 กลุ่ม ที่มีผลบวกต่างกัน 11 
เลข 19 จะเข้าพวกกับเลขอะไร
5 "J แก่กว่า M 3 ปี และ M แก่กว่า C 9 ปี" ประโยคนี้สอดคล้องกับประโยคสัญลักษณ์ในข้อใด
6 5x-8 = 7
3x-2y = -9

จงหาค่า y
7 -3x+4y = 29
-7x-4y = 1

จงหาค่า x+y
8 จากภาพ จงหาค่า B
9 จากภาพ จงหาค่า C
10 จงหาผลลัพธ์จากภาพ
11 จงหาผลลัพธ์จากภาพ
12 ถ้า a=2, b=7, c=9 แล้ว
1+a+b+c+ab+bc+ca+abc = ?
13 จงหาผลลัพธ์จากภาพ
14 จงหาค่า x จากภาพ
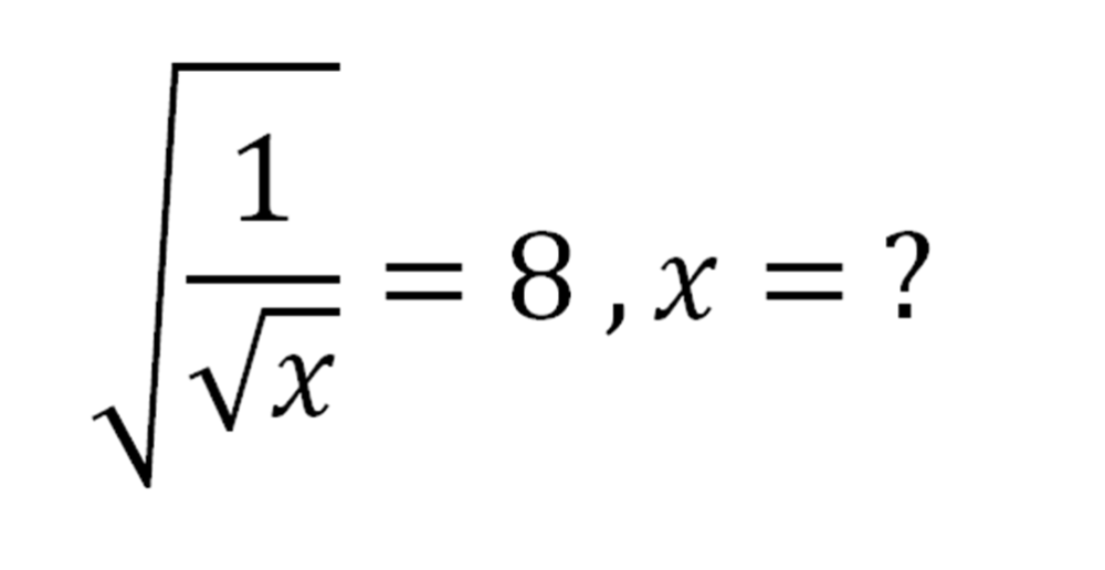
15 จงหาค่า x จากภาพ
16 หลักหน่วยของ "2^10" คือเลขอะไร
17 ถัดจาก "วันจันทร์" อีก 100 วัน จะเป็นวันอะไร
18 หลักหน่วยของ "1*2*3*4*5*6*7*8*9" คือเลขอะไร
19 ถัดจาก "05:00" อีก 100 ชั่วโมง จะเป็นเวลาอะไร
20 1,1,2,3,5,8,13,21,34,... เลขตัวที่ 10 คือเลขอะไร
โอ้โห เก่งมากๆ ห้ะ! แค่นี้ก็ไม่รู้หรอ
คะแนน

0
จบควิซ หมดเวลาตอบคำถาม
ชั่วโมง นาที วินาที
00 00 00

คุณไม่สามารถตอบคำถาม
หรือแก้ไขคำตอบได้หลังจากหมดเวลา

คุณตอบไม่ทัน!
กดปุ่มด้านล่างเพื่อเล่นข้อถัดไป