Dek-D.com ใช้คุกกี้เพื่อพัฒนาประสบการณ์ของ
ผู้ใช้ให้ดียิ่งขึ้น เรียนรู้เพิ่มเติมที่นี่
ยอมรับ

I.Q. TEST

โดย: fbakmutnb2562

แบบทดสอบ I.Q. ในการทดสอบมาตรฐาน. โดย Aj.Dr.Parichart Hathaithippayamongkhon

แบบทดสอบ I.Q. ในการทดสอบมาตรฐาน. โดย Aj.Dr.Parichart Hathaithippayamongkhon ...อ่านเพิ่ม
กด "Like" เพื่อติดตามควิซเด็ดน่าเล่น
Dek-D's Quiz
กำลังคำนวณผลลัพธ์
1 จงเลือกข้อที่มีความหมายใกล้เคียงกันมากที่สุด (เสื่อ , สิ่งทอ , พื้น , พรม)
2 จงเลือกสองคำาที่มีความหมายไม่เข้าพวกกับคำอื่นๆ(ผู้ชาย , กะพง , ช่อน , เด็ก , ตาเดียว)
3 จงเลือกคำที่มีความหมายตรงข้ามกันมากที่สุด(แน่นหนัก , รวบรัด , เคร่งขรึม , หย่อนยาน , ยั่วยุ)
4 จงเลือกคำที่มีความหมายไม่เข้าพวก นางนวล , พิราบ , กะพง , อินทรี , ช่อน
5 จงเลือกข้อที่มีความหมายใกล้เคียงกันมากที่สุด (คุมขัง , ทำโทษ , ไม้ตะพด , ลงโทษ)
6 จากกฎทางคณิตศาสตร์คือ การ “บวก”ตัวเลขในแถวบนแล้ว นำไป“คูณ”กับตัวเลขในแถวล่างเพื่อให้ได้ผลลัพธ์ในช่องวงกลม จงเติมผลลัพธ์ลงในช่องวงกลมตรงรูป
7 จงเลือกสองคำที่มีความหมายไม่เข้าพวกกับคำอื่นๆ (จมูก,ปาก,ยิ้ม,ตา,ขมวดคิ้ว)
8 ตัวเลขสามตัวทางด้านซ้ายจะมีความสัมพันธ์กัน ในทำนองเดียวกับตัวเลขสามตัวทางด้านขวา จงเลือกค่ากลางลงในกลุ่มตัวเลขทางขวา เพื่อให้ความสัมพันธ์ เป็นไปโดยสมบูรณ์
11 (12) 13 : : 4 () 6
9 จากกลุ่มตัวเลขในกล่องสี่เหลี่ยม มีความสัมพันธ์กัน ในแนวตั้งและแนวนอน จงเติมตัวเลขที่ขาดหายไปในช่องสี่เหลี่ยมเพื่อให้ความสัมพันธ์เป็นไปโดยสมบูรณ์
10 จากกลุ่มตัวเลขในกล่องสี่เหลี่ยม มีความสัมพันธ์กัน ในแนวตั้งและแนวนอน จงเติมตัวเลขที่ขาดหายไปในช่องสี่เหลี่ยมเพื่อให้ความสัมพันธ์เป็นไปโดยสมบูรณ์
11 จากภาพตัวอย่าง ในรูปทรงเรขาคณิต จะมีวิธีการคำนวณแตกต่างๆไป จงเติมตัวเลขที่ขาดหาไปให้สมบูรณ์
12 จากภาพตัวอย่าง ในรูปทรงเรขาคณิต จะมีวิธีการคำนวณแตกต่างๆไป จงเติมตัวเลขที่ขาดหาไปให้สมบูรณ์
13 จงเติมตัวเลขลงในช่องว่างสี่เหลี่ยมคู่ทางขวามือ เพื่อให้ตัวเลขในแต่ละแถวมีความสัมพันธ์กันในเชิงอนุกรม
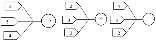
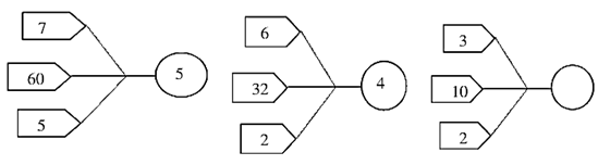
14 จรวดแต่ละลูกต่อไปนี้ มีการใช้กฎคณิตศาสตร์ที่แตกต่างกันในการคำนวณตัวเลขจากสวนปีก และส่วนหางของจรวดเพื่อให้ได้ผลลัพธ์ตามเป้าหมายของจรวด จงเติมเป้าหมายของจรวดต่อไปนี้
15 จรวดแต่ละลูกต่อไปนี้ มีการใช้กฎคณิตศาสตร์ที่แตกต่างกันในการคำนวณตัวเลขจากสวนปีก และส่วนหางของจรวดเพื่อให้ได้ผลลัพธ์ตามเป้าหมายของจรวด จงเติมเป้าหมายของจรวดต่อไปนี้
คุณตอบไม่ทัน!
กดปุ่มด้านล่างเพื่อเล่นข้อถัดไป