Dek-D.com ใช้คุกกี้เพื่อพัฒนาประสบการณ์ของ
ผู้ใช้ให้ดียิ่งขึ้น เรียนรู้เพิ่มเติมที่นี่
ยอมรับ

ความรู้ฟิสิกส์ทั่วไป

โดย: atomsilasan

เนื้อหาความรู้ฟิสิกส์ทั่วไป ระดับตั้งแต่ประถมจนถึงปริญญาตรี

เนื้อหาความรู้ฟิสิกส์ทั่วไป ระดับตั้งแต่ประถมจนถึงปริญญาตรี ...อ่านเพิ่ม
กด "Like" เพื่อติดตามควิซเด็ดน่าเล่น
Dek-D's Quiz
กำลังคำนวณผลลัพธ์
1 ข้อใดต่อไปนี้ไม่อยู่ในสมการแม่เหล็กไฟฟ้าของแมกซ์เวลล์
2 ข้อใดต่อไปนี้ไม่ใช่ปริมาณเวกเตอร์
3 ในการเคลื่อนที่ 1 มิติ ปล่อยลูกบอลลงจากตึก มีแรงที่กระทำต่อไปลูกบอล 3 แรง คือแรงโน้มถ่วง แรงต้านอากาศ แรงลอยตัว แรงแต่ละแรงมีทิศทางเป็นอย่างไรตามลำดับ
4 สถานการณ์ใดต่อไปนี้ ก่อให้เกิดการสั่นอย่างง่าย 
5 กลศาสตร์ดั้งเดิมไม่สามารถอธิบายปรากฏการณ์ใดได้
6 นักฟิสิกส์ท่านใด เป็นผู้ได้รับรางวัลโนเบลสาขาฟิสิกส์เป็นคนแรก
7 กฏทางอุณหพลศาสตร์มีทั้งหมดกี่ข้อ
8 สมการนี้มีชื่อว่าอย่างไร
9 ข้อใดคืออนุภาคอัลฟา
10 ในการเคลื่อนที่แบบ Projectile เส้นโค้งที่สังเกตได้เป็นเส้นโค้งรูปพาราโบลา อธิบายได้ด้วยสมการใด เมื่อ y,x คือตำแหน่งในแนวแกนตั้งและแกนนอน g คืออัตราเร่งเนื่องจากสนามโน้มถ่วง และ \theta คือมุมเงย
11 จงเรียงลำดับขนาดจากมากไปน้อยให้ถูกต้อง โดยทุกตัวเลือกมีขนาดเป็น 1 หน่วย เช่น กิโลเมตร หมายความว่า ขนาด 1 กิโลเมตร, เมกะพาร์เซค หมายถึง 1 เมกะพาร์เซค เป็นต้น
12 1 อิเล็กตรอนโวลต์ (eV) เท่ากับกี่จูล (Joule)
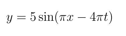
13 ฟังก์ชันคลื่นรูปไซน์อันหนึ่งซึ่งเคลื่อนที่ไปทางทิศ +X มีลักษณะดังรูป จงบอกขนาดของ แอมพลิจูด เลขคลื่น ความยาวคลื่น ความถี่เชิงมุม ความถี่ f อัตราเร็วเฟส
14 อะตอมไฮโดรเจนในสถานะพื้นมีพลังงานเท่าใด
15 ดาวฤกษ์ดวงหนึ่งมีแมกนิจูดสัมบูรณ์เท่ากับ 1.0 ถ้าดาวดวงนี้อยู่ที่ระยะทาง 100 พาร์เซค จะมีแมกนิจูดปรากฎเท่าใด
16 ปรากฎการณ์ดาวศุกร์ผ่านหน้าดวงอาทิตย์ (Venus transit) ดาวศุกร์จะอยู่ในบริเวณใด
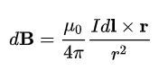
17 ตัว H ในสมการด้านล่างมีชื่อเรียกว่าอย่างไร
18 ทุกข้อเป็นคุณสมบัติของการเป็นคลื่น ยกเว้นข้อใด
19 ทิศทางของโมเมนตัมเชิงมุมที่ถูกต้องเป็นอย่างไร
20 ข้อใดเรียงลำดับความยาวคลื่นของคลื่นแม่เหล็กไฟฟ้าได้ถูกต้อง
คุณตอบไม่ทัน!
กดปุ่มด้านล่างเพื่อเล่นข้อถัดไป